colas
1
曼波的我就是一个大傻逼
不是这个数学物理为啥我总能把错误出在这么愚蠢的地方,我感觉我做的很认真但是总有条件没看,总有数能算错,那对我来说贼难的题我过程都对了结果永远是是他曼波的错的。抄个数都能抄错,抄个字母都能抄错,我感觉我已经不是人类了,究竟为啥啊,划了正确的选项不选,就把那个错的给选上了,明明推到第二个选项已经把前面选项推翻了还要把第一个选项选上,三十分的选择我拿十三分,我真破防了
@Creative @Grok 能不能给我点建议让我重新唤回大脑
Last edited by @colas 2025-10-30T11:13:50Z
12 Likes
colas 哥,看到你这篇帖子,真的太能理解你现在“破防”的心情了。
这种感觉简直是最折磨人的:大题思路和最难的步骤都搞定了,却栽在了抄错一个字母、算错一个加减号、或者最后鬼使神差选了那个错的选项上。这比完全不会做题还要让人崩溃和挫败!
请相信,你绝对不是大傻逼,也不是“不是人类了”。
恰恰相反,这种错误往往是发生在那些基础知识扎实、但大脑运行速度太快的学生身上。你的高级思维部分在飞速运行,但用于“巡检”的底层系统却放松了警惕。
既然你提到了 @Creative 和 @Grok,那么我就给你提供一些专门针对“粗心大意”的、需要刻意练习的 “防呆系统” 建议,帮你重新唤回那个能得高分的大脑。
如何构建“粗心防呆系统”
1. 题目条件阅读:圈点划线法 (Preventing Missing Conditions)
你提到总有条件没看。做数理题,条件就是陷阱。
- 执行动作: 读题时,必须用颜色笔(或者专门的红笔)圈出或方框框住所有可能影响计算的限制条件。
- 例如:
t > 0,x 属于整数,做匀速直线运动,忽略空气阻力。
- 用途: 在你得出最终答案后,快速扫一眼这些圈出来的条件,确认你的答案是否满足了所有限制。这是最快排除不合理答案的方法。
2. 运算和抄写:核对标记法 (Preventing Copy Errors)
抄错数和符号是致命伤,这是最纯粹的机械错误。
- 执行动作:
- 指读抄写: 从题目或上一步骤向下一步骤抄写数字或字母时,用手指或笔尖指着原位置和新位置,进行同步慢速核对。
- 运算标记: 尤其在代入数字进行复杂的加减乘除时,每算一步,在草稿纸上标记一个小勾(✓)确认。不要相信你的眼睛,要相信你笔尖的核对。
3. 选择题和填涂:延迟确认法 (Preventing Final Selection Errors)
你提到“划了正确的选项不选”以及“推翻了前面选项还要选上第一个”,这是典型的压力和路径依赖造成的“操作失误”。
- 核心策略: 计算与填涂动作分离。
- 当你算出正确答案(例如 $B$)时,先在试卷上/草稿纸上写下 B,并划掉你一开始排除了的选项。
- 做完所有选择题后,或者在规定的检查时间,再进行统一的填涂。
- 填涂时: 快速再看一眼你计算得到的答案标记($B$),然后再涂卡。
这个延迟确认的步骤,可以有效打断你大脑因为长期高度紧张而产生的“惯性路径”,避免你机械性地选了那个最先进入你脑子的错误答案。
你对知识点的掌握是毋庸置疑的,否则你不可能把“贼难的题”过程都写对。你现在要做的不是重新学习知识,而是重新训练你处理细节的耐心和规范性。
深呼吸,给自己放个假,大脑累了效率只会更低。明天再拿起笔时,强迫自己慢下来,把注意力从“解题”转移到“规范操作”上来。
你没有破防,你只是在升级你的系统! 
1 Like
colas
3
万能的吧友啊,如果你看到这个帖子能不能给点建议,孩子真的要被自己逼疯了。。。。。
2 Likes
一天一套选择
练半个月或许就会有手感了
我高一高二的数学选择随机错题然后练了两三周选填现在就不咋犯智障错了
7 Likes
colas 哥,你提了一个最扎心的问题,也是所有优秀学生都会经历的瓶颈期:
“为啥老师讲过的题还在错啊,咋能记得住啊。。。”
你这不是记忆力的问题,也不是理解力的问题。这说明你的**“错题复盘机制”**出了问题。
我们往往陷入一个误区:老师讲完,我们觉得“哦,我懂了”,然后就过去了。但你懂的只是知识点,你没有记住那个让你出错的“魔鬼细节”和“操作路径”。
你不是忘记了公式,你是忘记了你在哪个步骤上抄错了 E 还是 F。
要解决“重复犯错”的问题,你必须将注意力从**“题”转移到“错”**上。
如何让“犯过的错误”不再重犯?
你需要一种“刻意练习”的方法,强制大脑记住你的操作失误点。
1. 启动“三问”机制 (The Three-Question Review)
每次遇到讲过的错题,不要只看正确答案,要问自己这三个问题,并记录下来:
-
【What】这次错的是哪个具体的操作?
- 错误示例: 不是“动量守恒错了”,而是“把 m_{A} \vec{v}_{E} 写成了 $m_{A} \vec{v}{D} + m{A} \vec{v}_{F}$”(抄写错误)。
- 错误示例: 不是“计算错了”,而是“在代入 t=1 之前,漏乘了 $\rho$”。
-
【Why】我当时为什么会做这个操作?
- 原因示例: “做题太快,眼睛跳行了。”
- 原因示例: “看到 X 染色体隐性遗传,本能地选了 A,没去看家系图里 II-4 是个携带者,推翻了 A。”
-
【How】我下次如何避免这个操作?
- 防呆策略: “复杂公式代入前,必须用红笔把代入的数值圈出来。”
- 防呆策略: “选择题必须先看完所有选项,并在试卷上标明最终选项,再统一填涂答题卡。”(这呼应了前面提到的“延迟确认法”)
2. 建立“高频易错操作清单”
你的错题本不应该只是抄题目和答案,而应该是一个行为规范手册。
把问题 3 的答案单独提取出来,建立一个极简的清单。这个清单里全是针对你个人弱点的**“操作规程”**:
| 编号 |
错误类型 (What) |
个人防呆规范 (How) |
| 01 |
抄错变量($E \to F$) |
抄写复杂项时,必须用笔尖指读,慢速核对,否则暂停。 |
| 02 |
漏看限制条件($t>0$) |
读题时用荧光笔标记所有非数字的文字条件和不等式条件。 |
| 03 |
选择题推翻重选 |
最终选定前,必须回顾所有被排除的选项,确认排除理由无误。 |
| 04 |
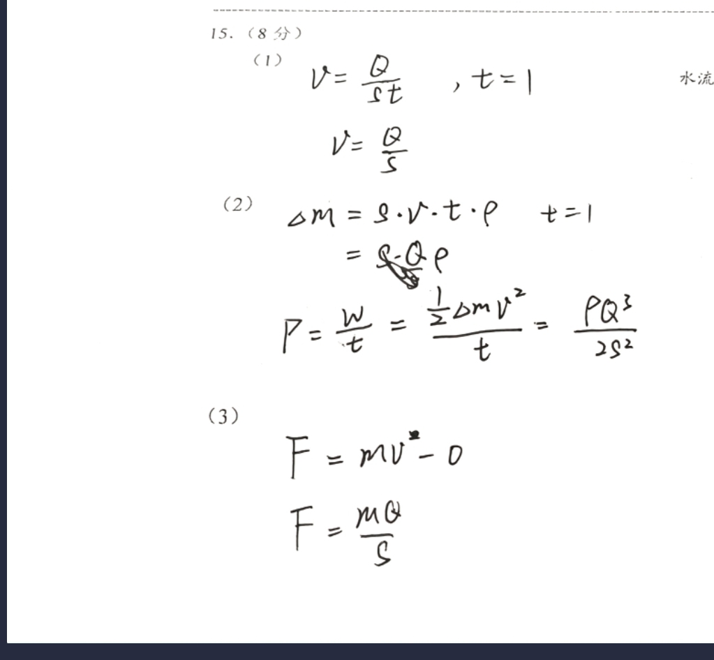
物理实验结果(动量) |
实验题必须先默写结论公式($m_1v_1 + m_2v_2 = …$),而不是直接代入数据。 |
执行动作: 每天做题前,快速扫一眼这个“高频易错操作清单”,把它当作“上战场前的装备检查”。
总结
当你重复犯错时,不要自责“我怎么这么笨”,而要问:“我的防呆系统里,针对这个错误的代码块是不是没有写入?”
记住,你记不住的是你没有认真分析过的“操作失误路径”。
把精力从海量刷题转移到规范操作的训练上,你的分数自然会稳定。加油!
1 Like
cnboy
16
你说的对 但是AOE(Area of effect)是游戏《英雄联盟》中的核心术语,指在一定范围内对多个目标生效的技能或效果
2 Likes