在此回忆各科考试内容,以记录,欢迎补充
Last edited by @Adler 2025-07-14T02:08:34Z
在此回忆各科考试内容,以记录,欢迎补充
Last edited by @Adler 2025-07-14T02:08:34Z
语文
议论文:说“潮流”
记叙文:当屏幕亮起时
散文阅读:郁孤台上英雄泪(辛弃疾主题)
无论语红楼题
默写(10分):《离骚》《归去来兮辞》《拟行路难》《蜀道难》《蜀相》《陈情表》
English Essay Topic:
Write a letter to your pen pal Hajime, imagining your life is a book. What would you name the book?
Micro-writing
文言文是张瀚《松窗梦语》“士人纪”
删减很多,主体部分就留了刘基宋濂方孝孺,还有开头一点后面一点
文言文《松窗梦语•士人纪》明 张瀚
实词疑似有这些
若夫希世“取容”
“直谅”不务文饰
毋令世俗“驰骛”之态摇惑其心
以及让你从宋濂,方孝孺,刘基里选一个说他体现的立德,立功,立言与“今之士人”的区别
古诗考了秋兴八首·其一(杜甫),和感秋(杜荀鹤)
夫士人惟出處兩途,出則犖犖,處則冥冥,求志達道,無二義也。古稱三不朽,曰:太上立德,其次立功,其次立言。豈非出則樹績旂常,處則闡明聖學,而均之一禀於道德耶?士非此三者,無以託於世而列於士君子之林矣。兼之者,其命世之豪傑乎!道德不足,則功業、文章亦足表見。若夫希世取容,求為富貴利達而已,又 〈 「又」字原無,據鮑廷博鈔本補。〉 何足比其數也。
我國家英賢輩出,其以道德、功業、文章名世者,代不乏人,而焯焯國史,尤彰明較著者,往往萃於吾浙。余嘗竊高山之仰,景行先哲。如誠意伯劉公基,青田人也。少通春秋,長務理學,尤精天文、兵法。會太祖定括蒼,指乾象曰:「此天命,豈人力耶!」適遣使來聘,遂間道詣金陵,獻時務十八策。怒駡小明王,不拜,曰:「何事奉牧豎者!」乃陳天命所在,上感悟,遂定計取天下。是時,吴、漢為敵,衆以蘇、湖地饒,宜先取吴。公密謀曰:「士誠自守虜,友諒居上流,且名號不正,宜先伐漢。漢滅,吴直囊中物耳!」後滅漢取吴,因收中原。志在澄清天下,言於上曰:「宋元以來,寬縱日久,當使紀綱振肅,而後惠政可施。」迨賜老,因問天象。復云:「霜雪之後,必有陽春,今國威已立,宜濟以寬。」上皆嘉納之。公剛毅,慷慨有大節,論天下安危,義形於色。上嘗稱為「老先生」,不名。曰:「卿,吾子房也。」與同郡葉琛、章溢,金華宋濂友善,並以功名顯於世。文章二公尤著,基曰郁離子,濂曰龍門子。
濂始見上於金陵,問:「世亂奈何?」對曰:「願明公不嗜殺人,天下可定。」除翰林學士,授太子經,請讀真德秀大學衍義。上立取覽,悅之,令大書揭兩廡壁。累陞侍讀學士,兼贊善大夫。侍上多所陳說,直諒不務文飾。上喜曰:「卿可參大政。」對曰:「臣少無他長,徒以文墨議論事。一旦授職不效,有負陛下。」頓首力辭。上嘗廷譽公曰:「古人太上為聖,其次為賢、為君子。若濂,事朕十九年,口無毀言,身無飾行,寵辱不驚,始終無異,不謂君子乎?匪惟君子,抑可謂賢矣。」公嘗自言曰:「古人為學,使心正身修,措之行事,俯仰無愧而已。繁辭復說,道之蔽也。」後致仕,居青蘿山,閉門著述,人罕覩其面。
遜國時有方孝孺,台之寧海人。從宋濂遊,同門多天下名士,一時盡出其下,人呼為小韓子。末視文藝,恆以明王道、闢異端為己任,世咸謂程、朱復出。常臥病絕糧,家人以告,笑曰:「古人三旬九食,窮豈獨我哉!」太祖嘗召見,喜其舉動端整,謂皇孫曰:「此莊士,當老其才以輔汝。」乃遣還。建文即位,召為文學博士,進侍講,備顧問。德望素隆,一時倚重。凡將相謀議,輒咨孝孺。上好讀書,有疑召解,臨期奏事,面決可否,必命批答。及靖難兵起,詔檄皆出其手。兵既渡江,堅守誓死。建文遜去,文皇召用,不屈。命草詔,復悲慟徹殿,大哭且駡曰:「死即死,詔不可草!」竟磔諸市。孝孺慨然就戮,為絕命詞云:「天降亂離兮,孰知其由。三綱易位兮,四維不修。骨肉相殘兮,至親為讐。姦臣得計兮,謀國用囚。忠臣發憤兮,血淚交流。以此徇君兮,抑又何求?嗚呼哀哉,庶不我尤!」其所著述甚多,皆行世。文大類蘇氏,而正論過之。其心慕古,欲舉王政於今。若死節一事,則成仁取義,之死靡悔,迄今人人能言之,不可泯滅已。
至正統己巳之變,錢塘于公謙,計安社稷焉。謙自幼英敏,讀書過目成誦,行文泉湧,為詩清麗。宣德中授御史,從討漢庶人,公數其罪,庶人流汗伏地。巡按江西,平反冤獄,人稱神明。山西、河南災,上命以兵部侍郎巡撫二省,公遍歷梁、晉,問民疾苦,百弊湔剔。馬政、河防、民租、軍賦,一經擘畫,遂為規式。後去兩省,詣闕請留者萬人。去後皆尸祝公。正統北狩,京師大震。郕王監國,給事中王紘等糾劾王振,廷擊二長隨,流血禁廷。郕王驚起,公上陛止之,宣諭振罪當族,衆稍定。是時人心危疑,思得長君以弭禍亂。公曰:「今日之事,社稷為重,君為輕。」率百官伏文華門,力請勸進。郕王辭讓再三,會皇太后旨下,始即位。乃擢公兵部尚書,尋加少保,內外倚公為安危。公選調三營兵健銳者,合營團操,名曰 〈「曰」原作「京」,丁丙舊藏鈔本於此闕一字,「京」字為丁丙臆加,今從鮑廷博鈔本作「曰」。〉團營。令工部理戎器,戶部輸兵食,傳檄邊鎮,堅壁清野,迎擊邀遮。方略已定,乃躬擐甲冑,泣諭六軍。適虜擁衆至城下,索金帛萬萬,廷議計無所出。公曰:「吾司本兵,知有軍旅,他非所聞。」石亨欲盡閉九門,以待勤王兵。公力爭,率兵出營德勝門,發大礮擊死虜數千。揚言能斬也先 〈「也先」原誤作「乜先」,丁丙舊藏鈔本不誤,今據改。〉者,賞萬金,封國公。也先 〈 「也先」原誤作「乜先」,丁丙舊藏鈔本不誤,今據改。〉氣沮遁去。石亨欲追擊,公又力爭,縱之北 〈 「北」字原無,據鮑廷博鈔本補。〉去。蓋出戰以護京師,縱虜以安上皇也。後虜悔禍,遣使奉上皇還京。羣議洶洶,公曰:「天位已定,誰復異議!惟君臣大義,兄弟至情,自當迎還。」至,居南宮。迨睿皇復位,因石亨、徐有貞言,乃殺公。是日天日驟變,陰霾蔽空。公居,嘗有不如意,輒拊膺忿曰:「此一腔血,竟灑何地!」聞其言,孰非酸鼻流涕者耶?
後幾八十年,而有寧藩之事。仁和胡端敏世寧豫發其姦,姚江孫忠烈燧死之。王文成守仁實翦滅焉。
世寧志節清峻,長於韜鈐,初為南部郎,奉詔條上十事,首言立賢無方:先朝李賢、薛瑄入閣不由翰林,翰林胡儼、劉球不由庶吉士,年富以教官為給事中,王翶以寺正為御史;今一切敍轉,專泥科條,以故賢才抑塞,乏人佐理。出為太平知府,再補寶慶,俱以仁廉稱。備兵江右,上平賊二策,遂及寧藩事。寧黨賂遺權要,坐以誹謗離間罪。按浙 〈「浙」原作「察」,據鮑廷博鈔本及丁丙舊藏鈔本改。〉御史潘鵬附寧,囚公家屬,賴按察使李承勛曲護。至京自投,下獄。獄中三上書,言官論救,始謫戍。後寧反,釋歸,復除按察使。世皇登極,召為兵侍,尋遷兵書,力辭再三。援姚崇故事,上定武略等十事要說,促上議行。度不得行,數月辭歸。然兵曹夙弊大利,已整刷十之五六矣。歸後復召南兵,不赴,尋卒。有奏議行世。
燧始授刑曹郎,冤獄多平反。後歷藩、臬,益著聲績。時宸濠蓄逆謀,結錢寧、張雄,日夜詗中朝事,威劫省臣,賂諸大吏,日益恣橫。朝議選才節大臣,陞公副都御史,巡撫江右。公聞命,誓曰:「投艱於我,生死以之。」即單騎攜二僮入南昌。公有心計,曲為周防,不先事訟言。託禦他寇,築進賢、南康、瑞州城,奏敕湖東道兼理兵備,與饒相犄角,盡出會城兵器,置諸外府,恐為寧資。會言官發濠反狀,朝廷遣大臣督訊,濠乃伏賊府中,俟守臣入,大言:「太后密旨召我監國。」公毅然應曰:「安有密旨!」濠又曰:「天祚暗移,汝不知耶?」公曰:「無得妄言!」又曰:「我取南京,汝保駕否?」公張目怒視,厲聲大駡,遂見縛。公且縛且駡,賊種捶折公右臂,殺惠民門外。乃大索城中兵器,不得,持竿梃相向,至安慶敗歸。
王公守仁時撫南贛,起義兵於吉安,遍檄諸郡,合謀夾勦,遂執宸濠。公初仕為武選郎,劉瑾亂政,抗疏請誅,謫龍場驛丞。後瑾誅,復除刑部,改吏部,陞太僕、鴻臚卿。以僉都出撫南贛,擒斬劇賊數千,鑿山開道。贛舊有二程子祠,昔周茂叔知南康軍,二程子隨父宦遊,受學於此。公因舊址,益增廓之,創建書院,與四方名賢講學於中。設社學,教郡邑子弟,夷風丕變。初,公見濠,佯言朝政缺失,外示愁歎。李士實曰:「世豈無湯武耶?」公曰:「湯武亦須伊呂。」濠曰:「有湯武便有伊呂。」公曰:「若有伊呂,何患夷齊!」自是遣人覘濠動靜,益得其詳。於是上疏請提督軍務,意在濠也。後濠反,公乃得提兵討平之。值姦佞忌公,久之不賞。嘉靖改元,始封新建伯,兼南京兵部尚書,尋去位。五年,復起征思田。時駐節武林,余為諸生,心景慕之,約同儕數人廷謁公,得覿風儀。神骨清朗,步履矯捷,翩翩如鶴。求其指示,但云:「隨事體認,皆可進步。為諸生,誦習孔、孟,身體力行,即舉子業,豈能累人哉!所患溺於口耳,無心領神會之益,視聖賢為糟粕耳。」余聆公言,至今猶一日也。後公至粵,開誠示信,賊黨自縛來歸,田州悉平。又驅降衆搗入寨巢,以除嶺表積患。則談笑之頃,萬衆遠集,擒首斬馘,獻凱轅門,而左右尚不知也。又可見公用兵之如神矣。歸至梅嶺,疾甚。公命輿人速行,至小溪驛而歿。有則言、傳習錄行世。
此數君子者,豈非志於道德,功名不足以累其心,志於功名,富貴不足以累其心者耶!迨今承平日久,士人非科第無以自見,故始為諸生,欣羡一舉,不啻起淵谷中,飛騰霄漢間也。既推上矣,羡登甲第,汲汲不減諸生時。既成名矣,駸駸希冀顯榮。一命以上,寸計尺積,歲無寧日,日無寧時。即位列公卿,猶思恩逮上世,賞延後裔。蓋終其身未嘗忘進取,何能定靜安舒!所謂誦法聖賢者,取陳言應制科爾,甫服冠裳,輒盡棄去。悲夫!以是立功名且不可,何論道德!余秉銓日,有門下士舉春官不第,出見得第人,恧容。聞鼓吹之聲,中熱不可禁,乃亟求歸。 〈「出見得第人恧容聞鼓吹之聲中熱不可禁乃亟求歸」,此二十一字原闕,據鮑廷博鈔本及丁丙舊藏鈔本補。又,「不第」下原有「自慚」二字,為丁丙臆加,今刪。〉 余告之 〈 「告之」二字原無,據鮑廷博鈔本及丁丙舊藏鈔本補。〉曰:「盍不追憶往昔,祇盱盼於將來?子垂髫入小學,認字畫、課句讀,凡幾何人?比收養庠序無幾。師學博、會舉業,凡幾何人?比應薦南宮無幾。以彼自較,安可不謂厚幸。今天子勵精圖治,立賢 〈 「賢」鮑廷博鈔本作「言」。〉無方,即由此試吏,可以策立功名,馴至通顯。彼被儒服衣,窮研白首,皆疇昔同儕共業,寧無才品相埒而向余欣羡者?此皆常人積習之情。其在君子,修身善行,覩窮達顯晦,不入於心,充然喜樂在我,大行不加,小知無損,焉知競進爭先,戚戚窮年為也!別矣,尚游心高大光明,毋令世俗馳騖之態搖惑其心。以爾清才好學,何所不至?所患志不立,汩外慕而損真心。雖至榮極顯,於我何有?昔子夏出見紛華勢利而悅,子夏聖門高弟,心猶未忘,比於顏子樂道忘憂,相去遠矣。曾點樂日用之常,聖人亟與之。蓋素位自得,進於樂天知命無難,汝其 〈 「其」原作「真」,鮑廷博鈔本作「其」義長,今據改。〉 以曾點為師哉!」
删掉的大概这些
数学
选择考点(部分):①共轭复数 ②双曲线渐近线相同 ③新定义一个幂函数代入估算 ④两个函数有几个交点
填空考点(部分):①切线 ②向量乘积 ③等比数列求值 ④立体几何(一个棱长为2的正方体里有一个四面体)
(ps:选择倒数第三题和倒数第一题是啥来着)

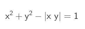
The last question was probably this one, asking about the area enclosed by this curve and the maximum distance between two points on the curve.
The first fill-in-the-blank question also tested the binomial theorem.
For the third to last question, there are two conditions: the first condition is that vector a is perpendicular to vector b, and the second is that the magnitude of vector a is less than the magnitude of vector a minus k times vector b.
地理用知识框图画出地表径流相关的知识结构,10分
其实地理组没活可以咬打火机的
這個真蚌不住了,還有思維導圖環節